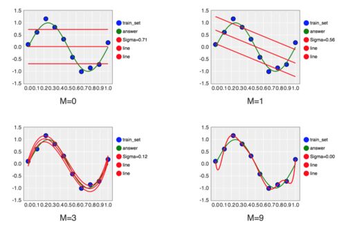
今回は「ITエンジニアのための機械学習理論入門」の最尤推定による回帰分析のサンプルコードを ruby で実装してみます。書籍のサンプルコードは下記に公開されています。 github.com 自然対数 今回は前回までのコードと似ている部分が多く、新しい要素は自然…
Quote saved.
Login to quote this blog
Failed to save quote. Please try again later.
You cannot quote because this article is private.