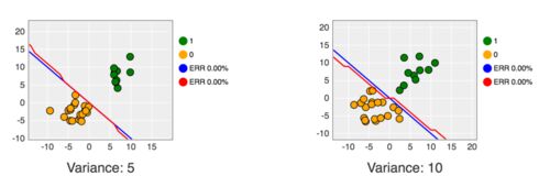
今回は下記書籍のロジスティック回帰とパーセプトロンの比較のコードを Ruby で実装してみたいと思います。 ITエンジニアのための機械学習理論入門 https://www.amazon.co.jp/IT-ebook/dp/B016Q22IX2/ サンプルコードはこちらで公開されています。 github.co…
Quote saved.
Login to quote this blog
Failed to save quote. Please try again later.
You cannot quote because this article is private.